李海超博士团队在《Advanced Quantum Technologies》上发表研究成果
近日,我校太阳集团tyc33455李海超博士团队在超导量子光学领域取得重要进展,研究成果以“Difference-Frequency Generation with and without Quantum Interference in Superconducting Circuits”为题发表于物理学主流期刊Advanced Quantum Technologies。Advanced Quantum Technologies是Wiley出版社量子领域旗舰期刊,属于享有极高学术声誉的Advanced家族,主要发表量子光学、量子计算、量子信息、量子传感等方向的高水平学术成果。

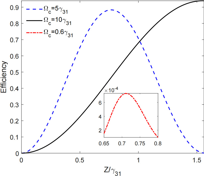
光波的产生和调控一直是量子光学领域的热点研究方向之一,其中非线性频率转换技术是实现光波操纵的一个重要方法。但是,频率转换的难点在于其效率一般较低,例如在原子系统中三阶非线性四波混频的效率通常只有10-4,这极大制约了相关应用的发展。针对这一问题,李海超博士团队借助于固态可调控超导电路体系来突破原子系统中选择定则的限制,研究了二阶非线性三波混频过程。同时,他们发展了Autler-Townes-splitting的双透明机制,实现了三波混频效率的巨提高,其效率超过了90%,这比通常的电磁感应透明机制辅助的非线性转换效率提高了4个数量级。
我校太阳集团tyc334552021级硕士研究生梁妙翔为论文第一作者,李海超博士和温州大学熊伟博士为共同通信作者,太阳成集团tyc33455cc为第一单位。该工作得到了国家自然科学基金和湖北省自然科学基金的项目资助。论文链接为https://onlinelibrary.wiley.com/doi/full/10.1002/qute.202300300。
作者简介:李海超,男,理学博士,副教授,硕士研究生导师。主要从事量子光学与非线性光学的研究工作。主持2项国家自然科学基金、1项湖北省自然科学基金、1项湖北师范大学教学改革重点项目,以第一或通讯作者在光学类国际知名期刊Advanced Quantum Technologies、Physical Review A、Optics Letters、Optics Express等上发表论文20余篇,曾取得世界知名高校Texas A&M University的博士后职位。